收藏我的工具箱

泊松分布计算器

泊松分布计算是用于描述在一个固定时间或空间内事件发生次数的概率分布,常用于描述低概率事件的发生情况,如单位时间内某事件发生的次数。通过泊松分布计算器,用户可以在线快速计算得出泊松分布的概率。这个工具提供了泊松分布的概率公式以及相应的计算功能,旨在帮助用户更好地理解和应用泊松分布,提供便捷的泊松分布计算功能。
λ
X (泊松随机变量)
计算结果
泊松分布
累积泊松分布
泊松分布

泊松分布是一种统计与概率学里常见到的离散概率分布,由法国数学家西莫恩·德尼·泊松(Siméon-Denis Poisson)在1838年时发表。

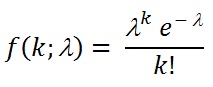
概率论中常用的一种离散型概率分布。若随机变量 X 只取非负整数值,取k值的概率为

(k=0,1,2,…)

则随机变量X 的分布称为泊松分布,记作P(λ)。这个分布是S.-D.泊松研究二项分布的渐近公式是时提出来的。泊松分布P (λ)中只有一个参数λ ,它既是泊松分布的均值,也是泊松分布的方差。在实际事例中,当一个随机事件,例如某电话交换台收到的呼叫、来到某公共汽车站的乘客、某放射性物质发射出的粒子、显微镜下某区域中的白血球等等,以固定的平均瞬时速率 λ(或称密度)随机且独立地出现时,那么这个事件在单位时间(面积或体积)内出现的次数或个数就近似地服从泊松分布。因此泊松分布在管理科学,运筹学以及自然科学的某些问题中都占有重要的地位。